ハイゼンベルグとモノ―
(税込) 送料込み
商品の説明
量子論の創成期に大きく貢献したハイゼンベルグ(ノーベル物理学賞)の生涯にわたるノーベル賞研究者同士との議論と交流を描いたもので、新しい分野を切り開く知性の輝きを学ぶことが出来ます。
また、著書「偶然と必然」でその哲学的認識について賛否両論の社会的話題をまいたモノ―(ノーベル生理医学賞)の話題作です。
①部分と全体 (ハイゼンベルグ) (みすず書房、第4刷)
―入手困難品―
②量子論の物理的基礎(ハイゼンベルグ)(みすず書房、第2刷)
③偶然と必然 (モノ―) (みすず書房、第7刷)
(注)時間がかなり経過し表面は変色しております。裁断面にもシミが所々に出ております。ページは奇麗で読むには問題ないと思います。
①は中古品で少々汚れていても13,以上、②は、中古品で汚れていても2,以上です。(2023/07/05時点)商品の情報
| カテゴリー | 本・音楽・ゲーム > 本 > 洋書 |
|---|---|
| 商品の状態 | やや傷や汚れあり |

ハイゼンベルグとモノ― オススメ 本・音楽・ゲーム | griffintax.com

カラフルセット 3個 ハイゼンベルグとモノ― - 通販 - www

カラフルセット 3個 ハイゼンベルグとモノ― - 通販 - www

カラフルセット 3個 ハイゼンベルグとモノ― - 通販 - www
カラフルセット 3個 ハイゼンベルグとモノ― - 通販 - www
カラフルセット 3個 ハイゼンベルグとモノ― - 通販 - www

原理――ハイゼンベルクの軌跡

今日の超目玉】 REN HANG写真集 洋書

第32回ノーベル物理学賞 量子力学の幕開け!ハイゼンベルク「不確定性

Shirouzu Hiroaki(白水啓章) on Twitter:

今日の超目玉】 REN HANG写真集 洋書

カラフルセット 3個 ハイゼンベルグとモノ― - 通販 - www

カラフルセット 3個 ハイゼンベルグとモノ― - 通販 - www

最高の ヴィンテージ スペアボディ ロータス102B タムテック RC タミヤ

原爆とハイゼンベルグ、シラード | ひろじの物理ブログ ミオくんと

2023年最新】ヤフオク! -#ブラックゲマゲマ団(コミック、アニメグッズ

原理――ハイゼンベルクの軌跡

ハイゼンベルク (新装版 人と思想 98)

贅沢 洋書写真集 THE BOOK OF TIKI ザ、ブック・オブ・ティキ 洋書

TGS2022】「バイオハザード ヴィレッジ」、「ザ・マーセナリーズ

100%安い まんが日本昔ばなし①〜㊵全巻セット 絵本

バイオハザード ヴィレッジ」、様々な人物たちが登場する最新

絶妙なデザイン 美品 貴重!当時モノ ブルマァク ウルトラマンタロウ

カラフルセット 3個 ハイゼンベルグとモノ― - 通販 - www

気質アップ フリクション 衝撃の1stアルバムLP 「軋轢」#坂本龍一Pro

☆お求めやすく価格改定☆ Jolly Phonics/Finger Phonics 7冊セット
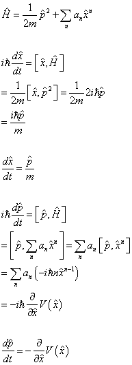
量子力学ハイゼンベルグの運動方程式1次元系のハミルトニアンと
そして世界に不確定性がもたらされた ハイゼンベルクの物理学革命 通販

満点の knoll 1938-1960 furniture 洋書 - www.riccartonhouse.co.nz

BIOHAZARD VILLAGE : Act.16「 ハイゼンベルグ工場」

2022新商品 ティム・ウォーカー Portfolio版大判写真集 洋書 - www

アクション㊰ スリーゼロ/ハイゼンベルク「ブレイキング・バッド」1/6

贅沢 洋書写真集 THE BOOK OF TIKI ザ、ブック・オブ・ティキ 洋書

55%以上節約 Whirling Witchcraft 日本語訳付 ワーリングウィッチ

駿河屋 - 【買取】ウォルター・ホワイト(ハイゼンベルグVer

一部予約販売中】 Ιστορία λογοτεχνίας νεοελληνικής της 洋書

ランキング上位のプレゼント ADAM SILVERMAN ceramics洋書 洋書

上品】 16 unit SEED Grape 3冊セット 洋書 - www.vocearoma.com.br

見事な & Kings Queens Britain/エリザベス女王 Great of 洋書 - www

優先配送 メタリックモンスターズギャラリー 41種48体 セット ゲーム

商品の情報
メルカリ安心への取り組み
お金は事務局に支払われ、評価後に振り込まれます
出品者
スピード発送
この出品者は平均24時間以内に発送しています














